Findings
Background
A troublesome feature of common cold is acute rhinitis (inflammation of the nasal mucous membranes resulting in congestion, rhinorrhoea, and sneezing). Nasal congestion negatively impacts daily activities and is a common complaint in children and adults who visit otorhinolaryngologists []. Congestion can be treated with topical nasal sprays containing imidazoline derivatives [], which stimulate alpha‐adrenergic receptors and induce vasoconstriction in the nose and paranasal sinuses, thereby reducing swelling and mucus production.
Rhinospray® Plus is a topical nasal spray containing tramazoline hydrochloride monohydrate and essential oils (eucalyptol, levomenthol and camphor); it is effective and well‐tolerated in treatment of nasal congestion caused by acute rhinitis due to common cold or hay fever [, , , , ]. Rhinospray® Plus is suitable for adults and children 6 years of age and older. The recommended dose is a single puff of spray (0.07 mL spray containing 0.09 mg tramazoline) into each nostril, up to 4 times daily for up to 7 days []. Based on available data and clinical experience, however, treatment durations of 10–15 days are acceptable.
The goal of this observational study was for patients and investigators to assess effectiveness and tolerability/safety of Rhinospray® Plus treatment of acute nasal congestion caused by common cold. The study was conducted in a community (real‐life) setting, with emphasis on quality‐of‐life measures.
Methods
Patients who presented with cold symptoms to one of four outpatient centres, received a clinical diagnosis of acute rhinitis, and had not previously used Rhinospray® Plus were eligible for enrolment. Patients provided informed consent (for minors, this was provided by a parent/guardian). Exclusion criteria included allergic rhinitis, contraindications to Rhinospray® Plus, participation in another trial, pregnancy/breastfeeding, or inability to cooperate.
Patients underwent two ambulatory clinic visits, at baseline and on the day after treatment was terminated. At the baseline visit, patients rated three nasal symptoms (blocked nose, sneezing and runny nose) on a 0–3 scale (0 = absent, 1 = mild, 2 = moderate, 3 = severe) []. Treatment with Rhinospray® Plus was to start on the same day as the baseline visit. Patients were instructed to use one puff of Rhinospray® Plus per nostril up to 4 times daily for up to 10 days. They also received a diary in which to record medication use, onset and duration of action of Rhinospray® Plus, and daily nasal symptom scores.
At the final visit, patients rated nasal symptoms and improvement in two quality‐of‐life parameters (ability to perform normal daytime activities and quality of sleep) on a 1–4 scale (1 = strong improvement, 2 = moderate improvement, 3 = weak improvement, 4 = no improvement), as well as overall effectiveness and tolerability on a 1–4 scale (1 = very good, 2 = good, 3 = fair, 4 = poor). The patients also answered a questionnaire assessing comfort of application and effect of the essential oils. Investigators recorded their assessments of effectiveness and tolerability and patients’ spontaneous reporting of adverse events.
Primary endpoints were the change from baseline to final visit in the mean of nasal symptom scores and the mean improvement in quality‐of‐life parameters. Secondary endpoints were the change from baseline to final visit in single nasal symptom scores, the improvement in each quality‐of‐life parameter, and the patients’ and investigators’ assessment of treatment effectiveness. Tolerability/safety was evaluated on the basis of adverse events and patients’ and investigators’ assessment of tolerability. Additional parameters included onset of action and duration of the treatment effect, and evaluation of comfort of application and the essential oil component of the spray. Data were analysed with descriptive statistics. Safety analyses included all treated patients and effectiveness analyses included all patients for whom a final visit was recorded. The study was approved by the Medical Research Council, Scientific and Research Committee, Reference number: 40683‐2/2013/EKU (482/2013), by the Hungarian Regulatory Authority (Reference number: OGYI/30633‐6/2013) and was registered in the ClinicalTrials.gov database under the identifier NCT01971086.
Results
Three hundred patients were enrolled and treated; for all patients, a final visit was recorded. No patient discontinued treatment. Of the 300 patients, 162 (54.0 %) were adults (age 18 and over), 30 (10.0 %) were adolescents (age 13–17) and 108 (36.0 %) were children (age 6–12). Additional patient characteristics are provided in Table 1.
Primary endpoints
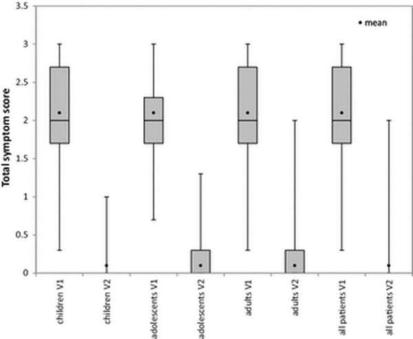
Including all patients, the mean symptom score was 2.1 ± 0.6 at baseline and 0.1 ± 0.3 at the final visit; the mean decrease was 2.0 ± 0.7 (Table 2). Of the 300 patients, 297 (99.0 %) reported a decrease in mean symptom score. The median symptom score was 0 at the final visit (Fig. 1). The mean improvement in the quality of life parameters was 1.3 ± 0.5 (Table 2), and all patients (100 %) reported an improvement on at least one quality‐of‐life measure.

Fig. 1
Quartile scores, median, minimum and maximum scores, and mean values for the total of the three nasal symptoms at Visit 1 (V1) and Visit 2 (V2), full analysis set. For children and for all patients at Visit 2, quartile 1, median, and quartile 3 values were zero
Secondary endpoints
At the final visit the mean blocked nose, sneezing and runny nose scores were 0.2 ± 0.4, 0.0 ± 0.2 and 0.1 ± 0.4, respectively; mean decreases were 2.4 ± 0.8, 1.4 ± 0.9 and 2.2 ± 0.8, respectively (Table 3). The median and third quartile scores were 0 for all nasal symptoms at the final visit. For improvement in daily activities, the mean score at final visit was 1.3 ± 0.5 and for improvement in sleep was 1.3 ± 0.6. Most patients reported a strong improvement in daytime activities (77.0 %) and in sleep quality (78.7 %; Figs. 2, 3). Overall, 97.3 % of patients rated the effectiveness of Rhinospray® Plus as ‘very good’ or ‘good’ (Fig. 4), and 95.4 % of investigators rated the effectiveness as ‘very good’ or ‘good’ (Table 3).

Fig. 2
Improvement in daytime activities

Fig. 3
Improvement in quality of sleep

Fig. 4
Patients’ assessment of effectiveness
Additional parameters
The majority of patients (92.4 %) reported that treatment started to work within 5 min or fewer. More than half of patients (52.0 %) reported a duration of effect between 4 and 8 h (Table 4). For application comfort, 76.7 % of patients indicated it was comfortable as could be and 57.7 % stated that the spray did not flow into the larynx. For the essential oils, 56.7 % of patients indicated that they gave the spray a pleasant feeling, 52.0 % that they promoted free breathing and 48.7 % that they provided a clear, cool feeling. Patients’ diaries indicated a gradual improvement of symptoms over time, with only 36.7 % of patients still using Rhinospray® Plus on day 7 (Fig. 5). On Day 7, 51.3 % of patients continued to reported nasal symptoms (51.2 % of adults, 53.7 % of children and 43.3 % of adolescents).

Fig. 5
Summary of number of patients on treatment over time
Safety endpoints
Mean duration of treatment was 7.1 days; there were no relevant differences based on patient age (Table 5). Overall, 97.7 % of patients (Fig. 6) and 100.0 % of investigators rated the treatment tolerability as ‘very good’ or ‘good’ (Table 5). There were no adverse events reported.

Fig. 6
Patients’ assessment of tolerability
Discussion
Observational studies play an important role in assessment of benefit/risk profiles of medicinal products, and they are often requested by health and regulatory authorities. Such studies add important information to results obtained in ‘classical’ phase III clinical trials []. A strength of the current observational study is that it was performed under real‐life conditions in patients presenting from the community. Interpretation of the results is limited by the uncontrolled trial design; consequently, efficacy cannot be assessed in the strict sense. However, the study aimed to determine whether Rhinospray® Plus benefited nonideal patients (that is, patients who administered the trial medication themselves in a home setting, including those with comorbid conditions and those who were pretreated or cotreated with other medications). The results indicate that this was so: for more than 95 % of patients—by both their own and the investigators’ assessments—effectiveness and tolerability were ‘very good’ or ‘good’. An improvement in at least one quality‐of‐life parameter was reported by 100 % of patients. The fact that no patient discontinued treatment is an additional indication of the acceptability of Rhinospray® Plus.
Furthermore, the study included children and adolescents, who are commonly excluded from controlled clinical trials. When comparing data collected for the different age groups involved in the trial, effectiveness results (primary endpoints) were comparable between adults, children and adolescents. For quality of life parameters, even better results were observed in children and adolescents than for adults, especially with respect to quality of sleep. Similarly, treatment was even better tolerated by children and adolescents than adults.
Colds are self‐limited illnesses; it may be argued that patients would experience symptomatic improvement with or without treatment over the time span of the trial. The current study was not designed to determine whether treatment with Rhinospray® Plus shortened the duration of symptoms when compared with no treatment. However, literature comparisons suggest this may be so. In this trial, 51 % of adults, 54 % of children and 43 % of adolescents continued to report one or more nasal symptoms on day 7. This compares with a surveillance study in children in which 86 % of patients still had nasal symptoms after 6 days or more [], and a prospective study in adults in which 72 % of patients still had at least one nasal symptom on day 7 []. It should also be noted that in the current study, more than 75 % of patients (all age groups) were free of nasal symptoms at the final visit (mean treatment duration: 7.1 days). These promising data should be further assessed in controlled clinical trials.
The results of this study indicate that Rhinospray® Plus is well‐tolerated and comfortable to apply. Community‐based patients reported a relief in nasal cold symptoms and improvement in quality of life as a result of treatment.
Authors' contributions
Dr. Holm and Dr. Katona conceived and designed the trial and drafted the manuscript. Dr. Nirnberger performed the statistical analyses. Drs. Sultész, Farkas, Gyimesi, Hirschberg, Huszka, Radvánszky, Simon, Fülöp, Láng and Ablonczy performed the clinical and administrative work for the trial. All authors read and approved the final manuscript
Acknowledgements
We acknowledge Dr. Jill Holbrook who provided medical writing services on behalf of Boehringer Ingelheim Pharma GmbH & Co. KG.
Competing interests
This study was sponsored by Boehringer Ingelheim. Dr. Katona was principal investigator in this study. He received honoraria for consultation and presentation from Boehringer Ingelheim and declares no further conflict of interest. Drs. Sultész, Farkas, Gyimesi, Hirschberg, Huszka, Radvánszky, Simon, Fülöp, Láng and Ablonczy participated as investigators in the study and declare no further conflict of interest. Dr. Nirnberger performed the statistical analyses for the study. Dr. Holm is employed at Boehringer Ingelheim.
References
- 1. Passali D, Salerni L, Passali GC, Passali FM, Bellussi L. Nasal decongestants in the treatment of chronic nasal obstruction: effectiveness and safety of use. Expert Opin Drug Saf. 2006;5:783–90.
 - 2. Liebrich KG, Renovanz HD. Double‐blind testing of rhinological drugs. Arzneimittelforschung. 1962; 12 979–984.
 - 3. Hoeltz J. Clinical experiences with a new nasal decongestant. Dtsch Med J. 1962;13:623–24.
 - 4. Starke K. Experiences with the new cold remedy Rhinospray. Med Welt. 1963; 1 117–119.
 - 5. Krueger FJ. Extension of indications for a nasal decongestant from the viewpoint of an ENT‐doctor. Aerztl Prax. 1963; 15 783–784.
 - 6. Tramazoline . Mongraph. Bundesanzeiger Nr. 138, 26.07.1994.
 - 7. Jackson GG, Dowling HF, Spiesman IG, Boand AV. (). Transmission of the common cold to volunteers under controlled conditions. Intern Med. 1958; 101 267–278.
 - 8. Price D, Hillyer EV, van der Molen T. Efficacy versus effectiveness trials: informing guidelines for asthma management. Curr Opin Allergy Clin Immunol. 2013; 13 50–57.
 - 9. Troullos E, Baird L, Jayawardena S. Common cold symptoms in children: results of an internet‐based surveillance program. J Med Internet Res. 2014; 16 e144.
 - 10. Witek TJ, Cohen SD, Geist FC, Sorrentino JV, Riker DK. The clinical course of acute upper respiratory infection. 14th Cong of the European Rhinologic Society, 11th Int Symp on Infection and Allergy of the Nose, Rome, 6–10 Oct 1992.
 




