Introduction
Dysregulation of many hormones occurs in obesity. Two vital metabolic hormones, growth hormone (GH) and insulin, are often disturbed in the process of obesity (decreased GH and increased insulin level) []. Insulin-GH balance has been proven to regulate glucose metabolism, lipid metabolism, and energy metabolism []. Although the specific mechanism has not been fully investigated, these 2 metabolic hormones may regulate the secretion of each other and constitute a complicated regulatory network. Disturbed insulin-GH balance (increased insulin level and decreased GH level) leads to more fat accumulation. Clinical research indicates that the insulin:GH ratio may serve as a biomarker for energy expenditure and fat accumulation [, ]. Our previous research also identified that insulin and GH levels were associated with weight change and fat accumulation in mouse [, , ]. Restored pulsatile GH secretion and reduced hyperinsulinemia always lead to the changes of gene expression involved in substrate and energy metabolism.
Disruption of physiological circadian timing of food intake was related to weight gain []. As a key part of an intermitted fasting lifestyle intervention method, time-restricted feeding (TRF) has gained significant attention recently. TRF was usually allowed to have free access to food in a restricted time range, generally 3–12 h each day []. Results from human and animal research all showed that TRF was associated with improved insulin sensitivity and reduced body weight, glucose, insulin, cholesterol, and some other factors []. TRF with diverse nutritional challenges and in different clock-mutant mice models also showed similar results [, ]. In addition to these, TRF could reduce heart aging, preserve muscle fitness, benefit brain health, counter fatty liver, maintain gut integrity, block white adipose cell hypertrophy, and prevent brown adipose cell whitening [, ].
In terms of insulin and GH, results from human studies showed that TRF could reduce insulin levels in several time points and the mean [, ]. However, some randomized clinical trials indicated that TRF had no effect on 24-h mean or peak insulin levels and insulin levels during a 2-h oral glucose tolerance test (OGTT) [-]. Different intervention time and time range of TRF may lead to inconsistent results. There were diverse results in fasting and refed states when using different clock-mutant mice models []. Possible mechanism may be due to diverse regulated effects of different clock genes. Decreased insulin levels were also associated with time range of TRF [] and choice of food []. Unlike the inconclusive insulin results in response to TRF, secretion of GH in limited human studies showed no significant difference between TRF group and control group whether in morning or afternoon [, ]. However, it should be emphasized that GH was characterized by pulsatile secretion in a whole day, level in a single time point could not reflect the true secretion profile of GH. The change of pulsatile secretion of GH upon TRF challenge may be underestimated and it is important to re-address precise GH assessment in the TRF setting. Also, the balance between insulin levels and pulsatile secretion of GH is essential to reflect TRF-associated metabolic hormonal changes and the physiological metabolic consequences [].
In addition to hormonal changes, TRF has also impacted energy metabolism, although the outcomes are variable in different mice models [, ]. The main advantage of TRF on energy metabolism was to decrease the respiratory exchange ratio (RER) in light phase due to the lack of food supply []. Metabolic flexibility was also a crucial part of energy metabolism. An impaired drop or rise in Respiratory Quotient (RQ)/RER during an overnight fast or refed state was defined as metabolic inflexibility []. GH played a significant role in substrate and energy metabolism [, , ]. However, there were few reports to identify the link between TRF and GH on energy metabolism in obese mice.
This comprehensive study aimed to identify the effectiveness of TRF on 2 metabolic-related hormones (GH and insulin) and energy metabolism in hyperphagic obese melanocortin 4 receptor-knockout (MC4RKO) mice. Results indicated that TRF could restore the pulsatile secretion of GH and reduce the random insulin levels. TRF also prevented obesity and improved energy metabolism and glucose/lipid metabolism. It could be an alternative treatment regimen for obesity.
Materials and Methods
Animals
MC4RKO male mice on C57BL6/J background were attained from heterozygous breeding pairs with established MC4R primer pairs []. All mice were kept under a 12–12 h light/dark cycle with room temperature of 22 ± 2°C and the humidity of 35 ± 4% at the animal house of the Institute for Bioengineering and Nanotechnology, the University of Queensland. All the mice had free access to water. The procedures of the animal experiment were approved by the Ethics Committee of the University of Queensland (approval number SBMS/500/18).
Experimental Design
To study the effect of TRF on mice with obesity and hyperphagia, 8-week-old MC4RKO mice were randomly assigned to 2 groups (n = 7). Mice in TRF group had free access to food in 9–12 h (from ZT13 to ZT22-24) in dark phase everyday [, ]. Mice in normal food group had free access to food all day. Body weight and food intake were measured weekly. Blood collection for GH, glucose tolerance and insulin tolerance were performed at 5, 8, 9 weeks after the intervention. Calorimetric recording was performed at 6 weeks after the intervention. Mice were killed by injecting a single dose of sodium pentobarbital (32.5 mg/mL, i.p.) under fed condition. Terminal blood was collected via cardiac punch and plasma was separated by centrifugation and stored immediately at −80°C. Tissues including liver and subcutaneous fat tissues were isolated and frozen at −80°C for gene expression.
Calorimetric Recording
All the mice were kept in the chambers of TSE Phenomaster (TSE systems, Germany) for 1 week. Food intake, water intake, body weight, activity, RER and oxygen consumption were recorded in the Phenomaster hourly. To determine metabolic flexibility, all mice were fasted for 12 h and refed for 12 h in the Phenomaster to record the change of RER and other indicators. Body fat mass and lean mass were tested by an nuclear magnetic resonance spectroscopy machine (Bruker, Billerica, MA, USA). Fat mass ratio was defined as the percentage of fat mass in total body weight. Lean mass ratio was defined as the percentage of lean mass in total body weight.
Glucose Tolerance Test and Insulin Tolerance Test
Mice were fasted for 16 h (ZT22-38) and 3 h (ZT13-16) before glucose tolerance test (GTT) and insulin tolerance test (ITT) []. Glucose (2 g/kg) was infused by oral gavage for GTT and human insulin (0.5 U/kg, Sigma) was injected intraperitoneally for ITT. Blood glucose levels were tested using a Glucose Ketone meter (Nova Stat Strip Xpress Glucose Hospital Meter, Nova Biomedical, UK) at several time points (0, 15, 30, 60, 90, and 120 min for GTT and 0, 15, 30, 45, 60, and 90 min for ITT).
Blood Collection for Pulsatile GH Profiles
Blood sample collection was performed according to the established method for pulsatile GH measurement []. In brief, 2 μL of blood was collected from the tail tip of each mouse in a 10-min interval. Serial neat blood samples were mixed into 58 μL sample diluent (0.01 M PBS supplemented with 0.05% Tween 20) and instantly kept on dry ice till the end of blood collection and transferred to −80°C for storage. To minimize handling related stress, all mice were trained for 4 weeks to adapt to the blood collection process. To better identify the effect of TRF on pulsatile GH secretion, we measured the concentration of GH under dark phase (fed state). The process of GH blood collection was conducted between 10 a.m. (ZT14) and 4 p.m. (ZT20) in dark phase to represent the GH profile. All samples were stored at −80°C for testing of GH by Elisa [].
Hormone Measurement
Plasma insulin, leptin, and C-peptide levels were measured by the Mouse Mulltiplex kit. Plasma free fatty acid (FFA) level was measured by NEFA C kit (Wako). The triglyceride concentration was tested in liver as described previously [].
Gene Expression Measurement
PureLink RNA Mini Kit (Thermo Fisher Scientific) was used to extract the total RNA from the liver and adipose. Reverse transcription of RNA was performed by iScriptTM RT Supermix for quantitative PCR (qPCR) (Bio-Rad). cDNA was amplified by running SsoAdvancedTM Universal SYBR Green Supermix (Bio-Rad) and QuantStudio 6 Flex Real-time PCR system (Thermo Fisher Scientific). The sequence of primer pairs were attached with online suppl. data; see http://www.karger.com/doi/10.1159/000515960 for all online suppl. material (online suppl. Table 1). The target gene expression compared to the housekeeping gene (β-actin) was performed by the 2−ΔΔCT method.
Statistics
Statistical analysis was calculated by GraphPad Prism 8 software, SPSS statistic software, and SAS 9.4 software. All data showed normal distribution evidenced by 1-sample Kolmogorov-Smirnov test using SPSS software. One-way ANOVA and Student’s t test were performed to compare between 2 groups. Bonferroni’s method was used to adjust p value to accommodate multiple tests if multiple comparisons were not independent of each other. The significance level was set to 0.05 for 2-side comparison. Data were prospectively analyzed using the SAS 9.4 software. Mean ± SEM were chosen to express all the results with #p < 0.025, *p < 0.05, **p < 0.01, ***p < 0.001. Deconvolution analysis was performed following established method [] to determine the GH secretion profile with data clearance. The insulin/GH ratio was calculated by Pulse XP software (version 2.002).
Results
TRF Restored Insulin-GH Balance in Obese MC4RKO Mice
Pulsatile secretion of GH decreased significantly when facing physiological stress such as fasting state as described before []. To better identify the effect of TRF on GH secretion, we tested the GH profile under fed state during a 6-h period (Fig. 1a, g). Deconvolution analysis indicated that TRF restored the total GH secretion and pulsatile GH secretion (Fig. 1b, c) at dark phase. Although there was no significant difference in the number of burst and mode between the 2 groups (Fig. 1d, f), TRF group had more GH mass of each burst compared with control group (Fig. 1e) in dark phase. TRF also restored the GH secretion regularity (Fig. 1g). We also tested the insulin and C-peptide levels at light and dark phase. TRF significantly reduced the insulin level at light phase and C-peptide levels at both light or dark phases (Fig. 1h, i). However, there was no significant difference in insulin levels at dark phase between the 2 groups (p > 0.025, Fig. 1h), which might be due to limited number of samples. As for circulating insulin/GH ratio was associated with energy expenditure and fat accumulation []. We tested the insulin/mean GH concentration ratio (Fig. 1j) and insulin/GH pulse amplitude ratio (Fig. 1k) in both groups. Results showed that TRF significantly reduced insulin/GH ratio which was in line with changes in energy expenditure and fat accumulation (Fig. 2). However, there was no significant difference on circulating IGF-1 levels between 2 groups (Fig. 1l). This might indicate that IGF-1 was not sensitive to the GH mass of each burst used in insulin/GH ratio calculation. We also tested the GH secretion of 2 groups at light phase. Results showed that there was no significant difference on pulsatile/total secretion of GH and secretion mode between the 2 groups (online suppl. Fig. 1). This suggested that restored pulsatile GH secretion upon TRF was dependent on the feeding state.

Fig. 1
TRF restored pulsatile secretion of GH at dark phase and reduced hyperinsulinemia at dark and light phase in male MC4RKO mice. a Representative GH secretion examples in both groups at dark phase during a 6-h testing period. b–g Deconvolution analysis results showed the outcomes of total GH secretion (b), pulsatile GH secretion (c), number of bursts (d), mass of GH secretion/burst (e), GH secretion mode (f), and APEN of GH secretion at dark phase (g). h Insulin levels at light and dark phase. i C-peptide levels at light and dark phase. j Insulin/mean GH concentration ratio in both groups. k Insulin/GH pulse amplitude ratio in both groups. l Circulating IGF-1 levels. Data were presented as mean ± SEM, n = 7 each group. *p < 0.05, **p < 0.01, #p < 0.025, ns, nonsignificance. TRF, time-restricted feeding; GH, growth hormone; MC4RKO, melanocortin 4 receptor-knockout; APEN, approximate entropy.

Fig. 2
TRF promoted energy expenditure, decreased fat mass, and increased lipid oxidation without reducing food intake in male MC4RKO mice. a Cumulative food intake through the experiment. b Body weight through the experiment. c Weight of S fat, V fat, and B fat (c) at the end of the experiment. d Fat mass and lean mass ratio at the end of the experiment. e–h RER (e), oxygen consumption (f), activity (g), and food intake (h) were recorded during dark phase (08:00 h–20:00 h) marked by the shaded area and light phase (20:00 h–08:00 h next day) in 1-h intervals. Data were presented as mean ± SEM, n = 5–7 each group. *p < 0.05, **p < 0.01; ns, nonsignificance; S fat, subcutaneous fat; V fat, visceral fat; B fat, brown fat; ZT0, time of light on; TRF, time-restricted feeding; MC4RKO, melanocortin 4 receptor-knockout; RER, respiratory exchange ratio.
TRF Improved Energy Balance, Reduced Body Weight, Fat Mass, and Increased Lipid Oxidation without Reducing Cumulative Food Intake
To identify the effect of TRF on phenotypic changes, indirect calorimeter and body composition were recorded in both groups. There was no significant difference in food intake between the 2 groups (Fig. 2a). After 10 weeks’ intervention, mice in TRF group had an obvious decrease in body weight compared with mice in control group (Fig. 2b). Reduction of different types of fat tissue (subcutaneous fat and visceral fat) was observed in TRF mice (Fig. 2c). Results from nuclear magnetic resonance spectroscopy showed that TRF decreased the fat mass ratio and increased the lean mass ratio compared with the control group (Fig. 2d). Indirect calorimeter recording showed that TRF decreased the RER in light phase (Fig. 2e), reflecting a dominant consumption of fats over carbohydrates. TRF also increased the oxygen consumption (a parameter indicates metabolic rate) and activity in dark phase although there was no significant difference in light phase between the 2 groups (Fig. 2f, g). All these results indicated that TRF increases the energy expenditure independent of food intake (Fig. 2h).
TRF Improved Insulin Sensitivity and Metabolic Flexibility
To identify the metabolic flexibility upon fasting challenge, we recorded the change of energy expenditure for 24 h during the fasting and refed state. Results showed that there was no significant difference in RER during the fasting state (Fig. 3b). However, RER increases rapidly in TRF group at the refed state (Fig. 3b), indicating a dominant consumption of carbohydrates over fat during the transition period. During the refed state, mice in TRF group consumed more oxygen with increased activity levels (Fig. 3c, d). Given that insulin resistance was often associated with metabolic inflexibility and parallels with defects in fatty acid and triglyceride metabolism[], we performed the ITT, FFA and triglycerides measurements in both groups. We also performed the ITT, FFA and triglycerides measurements in both groups. Results showed that TRF improved insulin sensitivity (Fig. 3a), decreased circulating levels of FFA and triglycerides (Fig. 3e, f).

Fig. 3
TRF improved insulin sensitivity, reduced FFA, and increased energy expenditure and metabolic flexibility in male MC4RKO mice. a ITT. b–f RER (b), oxygen consumption (c), and activity (d) were recorded during fasting phase (19:00 h–10:00 h next day) and refed phase (10:00 h–20:00 h) marked by the shaded area in 1-hour intervals. e, f FFA and triglyceride at the end of experiment. Data were presented as mean ± SEM, n = 5–7 each group. *p < 0.05, **p < 0.01, ***p < 0.001, ****p < 0.0001; ns, nonsignificance; FFA, free fatty acid; MC4RKO, melanocortin 4 receptor-knockout; IIT, insulin tolerance test; RER, respiratory exchange ratio; TRF, time-restricted feeding.
TRF Decreased Glucose Fluctuation and Improved Glucose Tolerance
To determine the effect of TRF on glucose metabolism, we measured random blood glucose in 5 time points (ZT 0, 6, 13, 19, and 23). Results showed that TRF significantly reduced fasting blood glucose and minimized circulating blood glucose fluctuation (Fig. 4a, b). TRF also significantly improved the glucose tolerance (Fig. 4c).

Fig. 4
TRF decreased glucose fluctuation, reduced fasting glucose, and improved glucose tolerance in male MC4RKO mice. a Random glucose fluctuation in 24 h. b Fasting glucose. c GTT. Data were presented as mean ± SEM, n = 7 each group. *p < 0.05, **p < 0.01, ***p < 0.001, ****p < 0.0001; ns, nonsignificance. ZT0, time of light on; TRF, time-restricted feeding; MC4RKO, melanocortin 4 receptor-knockout; GTT, glucose tolerance test.
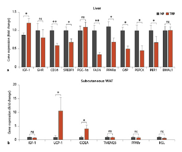
TRF Regulated Gene Expression Involved in Substrate Metabolism (Lipogenesis, Lipid Storage, Lipid Oxidation, and Gluconeogenesis) and White Adipose Tissue Browning in Liver and Subcutaneous White Adipose Tissue
To identify the effect of TRF at molecular level, we measured metabolism related genes expression in the liver and subcutaneous white adipose tissue (WAT). The lipogenic genes expression levels were decreased in the liver (FASN and SREBF1) following the TRF intervention (Fig. 5a). TRF also reduced the gene expression of lipid storage (CD36), lipid oxidation (PPARα), and gluconeogenesis (G6P and PEPCK) in the liver (Fig. 5a). TRF also increased the expression level of WAT browning markers (UCP-1 and CIDEA) in the subcutaneous WAT although there was no change in TMEM26 and PPARr expression levels (Fig. 5b). Fully restored IGF-1 gene expression in the liver from obese MC4RKO mice dealt with TRF affirmed the impact about restored pulsatile GH secretion, in spite of IGF-1 level in WAT being comparable between 2 groups. There was no significant change in the expression of PGC1α and GHR in liver (Fig. 5a) or HSL (lipolysis) between the 2 groups in the subcutaneous WAT (Fig. 5b). To identify the effect of TRF on clock genes, we also measured the expression of gene Per1 and Bmal1 in liver (Fig. 5a). TRF reduced the gene expression of Per1 but had no effect on Bmal1 in the liver.

Fig. 5
TRF decreased expression of genes involved in lipid storage, lipid synthesis, and lipid oxidation. Gene expression fold change was tested by qPCR, in the liver (a) and subcutaneous WAT (b). Data were presented as mean ± SEM, n = 7 each group. *p < 0.05, **p < 0.01, ***p < 0.001, ****p < 0.0001; ns, nonsignificance; TRF, time-restricted feeding; WAT, white adipose tissue.
Discussion
The concept of Insulin-GH balance has been newly documented and is believed to play a significant role in the glucose and lipid metabolism as well as energy metabolism []. GH and insulin have opposite effects on lipid and glucose metabolism. GH increases the glucose level and promotes the lipolysis whereas insulin decreases the glucose level and promotes the lipogenesis. Although many factors or interventions have been established to effectively alter insulin or GH alone, limited data exist to study the pairs and their balance. TRF may affect metabolism by targeting the rhythmic release of pulsatile GH [], but the specific mechanism has not been established. Results upon TRF-induced insulin changes were inclusive. Insulin levels were reduced in the morning and increased in the afternoon in TRF group compared with that in control group. This may be due to a variance in food intake []. In addition, TRF reduced insulin levels at multiple time points during OGTT in men with prediabetes []. Some other randomized clinical trials, however, confirmed that TRF did not change 24-h mean or peak insulin level, and did not alter insulin levels during a 2-h OGTT [-]. In consensus with part of the previous studies, in this experiment, TRF reduced insulin level in light phase. Unlike contradictory insulin data, very few clinical studies were performed on TRF-induced change of GH, showing no change of circulating level of GH [, ] and IGF-1 either in the morning or afternoon []. GH here was limited by one-off measurement of random GH without pulsatile profiles. Current study attempted to fill the gap by demonstrating that TRF restored GH pulsatile profile in obese MC4RKO mice. This was in line with an upregulation of IGF-1 gene expression in liver although the circulating IGF-1 in plasma was not changed. The potential mechanism of restored GH pulsatile secretion may be through (1) reduced fat mass, (2) reduced hyperinsulinemia, and (3) restored rhythm expression of clock genes. Decrease in insulin:GH ratio may lead to reduced fat mass, improved insulin sensitivity, and glucose tolerance. Thus, insulin:GH ratio may be therapeutically reduced to manage obesity.
There is evidence that TRF improves energy metabolism. Previous studies showed that TRF could increase the RER in dark phase and increase the oxygen consumption in different clock-mutant mice models []. Another research found that mice with TRF showed almost the same energy metabolism profile as mice fed ad libitum, only with a decrease in RER levels in light phase due to the removal of a food supply []. Results here showed that TRF reduced the food intake in light phase and increased the food intake in dark phase accompanied by increased oxygen consumption and activity. Interestingly, TRF could maintain the equivalent RER level although it increased the food intake in dark phase. The change in energy metabolism may contribute to the decrease in fat mass, FFA, and triglyceride content.
Decreased ratio of insulin:GH always led to reduced fat mass and improved energy expenditure under diverse metabolic situations []. There are strong evidences that changes of GH-insulin balance may regulate the energy metabolism. Several clinical studies demonstrated that blockade of GH receptor led to reduced basal energy expenditure [, ]. In fact, GH plays a crucial role in lipid metabolism in the liver. GHR, CD36, and PPARr were reported to participate in this liver metabolic pathway [-]. Here, TRF decreased the expression of CD36 in the liver, but the expression of GHR in liver and IGF-1 in subcutaneous WAT was not changed by TRF. It was reported that JAK pathway activated UCP-1 in response to environmental stress like cold exposure [] and JAK pathway is a signal system employed by GH. Decreasing insulin levels in high-fat feeding mice was associated with increased expression level of UCP-1 in WAT []. Increase in UCP-1 expression and function is an indicator of WAT browning. It was therefore reported that GH enhanced the function of brown adipose tissue (BAT) and WAT browning []. In this experiment, TRF significantly increased the expression of WAT browning markers (UCP-1 and CIDEA) in the subcutaneous WAT. The expression change of WAT browning markers may contribute to improving the lipid and energy metabolism [, ]. Expression of target genes of GH and insulin (IGF-1, CD36, UCP1, PEPCK, PPARα, and SREBP1) [] was significantly changed by TRF in liver and fat tissues. GH and insulin could therefore be the potential targets to maintain normal energy metabolism.
Fuel selection in the transition from fasting to feeding state, or from feeding to fasting state, was considered as a core part of metabolic flexibility []. Fatty acid was the main energy source during the transition from fed state to fasting state. Change in RER or RQ from fasting to fed, or from fed to fasting was used to evaluate the metabolic flexibility. An impaired drop or rise in RQ/RER during an overnight fast or refed state was defined as metabolic inflexibility []. Previous studies showed that TRF improved insulin sensitivity in human and animal studies [, , ]. Insulin resistance and defects in fatty acid metabolism were important components of the metabolic inflexibility in obesity and diabetes [, ]. In terms of association between TRF and metabolic flexibility, related results showed that TRF contributed to a rapid decline in RER after the food deprivation, whereas RER in control group with free access to food remained unchanged in the first 60 min []. Results in this experiment showed that TRF improved metabolic flexibility from overnight fasting to refed state. There is no significant difference in average RER in the first 9 h between the 2 groups after initiation of fasting. Conversely, there was a rapid increase in RER in the transition from fasting to refed state, a state with very few studies so far. Metabolic flexibility is driven by cell and organelle processes, and may be mostly related to mitochondria function. The cellular mechanism of insulin resistance has been discussed [, ]. The potential mechanisms of insulin resistance in skeletal muscle and liver included impaired mitochondrial fatty acid oxidation and disrupted lipid metabolism []. The disturbed GH/IGF-1 axis was also related to insulin resistance []. Fat oxidation was a primary effect of GH and circulating triglyceride and FFA formed the major source for this oxidation []. In summary, GH/IGF-1 axis may be a potential target by TRF process, and be linked to insulin resistance and metabolic flexibility. TRF decreases the fat mass, FFA, and triglyceride levels and regulates the gene expression involved in lipid metabolism.
Circadian rhythm is determined by the activation of hypothalamic suprachiasmatic nucleus (SCN), which is entrained by light or feeding patterns []. Circadian clock system includes the central clock system located in the SCN and the peripheral clock system located in peripheral organs, such as liver [, ]. Rhythmic expression of clock genes is also related to metabolic profiles in peripheral organs. Neurohumoral signals from SCN may affect the hypothalamus and influence the pulsatile secretion of pituitary hormones, such as GH and adrenocorticotropic hormone (ACTH) [, ]. Studies identified that there was a relationship between the expression of GH and clock genes [-] in both animal and human experiments. There was a mutual interaction between GH and clock system. Results in this experiment demonstrated further that the expression of clock gene Per1 was regulated by TRF through the change of GH pulsatile profile. The specific mechanism of TRF on clock system and GH secretion remains to be clarified.
There were some limitations in this study. The selection of MC4RKO mouse model in this experiment was based on the fact that MC4R gene mutation was the most frequent single-gene mutation causing obesity []. The common characteristic of people with obesity was over-eating and MC4RKO mouse model showed similar feature. It may not reflect other obese models, such as HFD obesity. More obese mouse models may be used to confirm the results in this experiment. TRF significantly restored insulin and GH secretions and improved glucose, lipid, and energy metabolism in obese MC4RKO mice. Whether the outcome from MC4R associated obesity applies to a general obese population warrants further experiments.
Conclusions
This research provides experimental evidence for the positive effect of TRF on insulin-GH balance and glucose/lipid/energy metabolism, which may have value for the management of obese patients.
Statement of Ethics
The research presented in the manuscript was ethically performed in accordance with institutional guidelines based on National Institutes of Health standards and the procedures of the animal experiment were approved by the Ethics Committee of the University of Queensland (approval number SBMS/500/18).
Conflict of Interest Statement
There are no conflicts of interest with any of the authors.
Funding Sources
This work was supported by the National Health and Medical Research Council grant of Australia and National Natural Science Foundation of China (grants 81670763 and 81471050).
Author Contributions
Weihao Wang, Zhengxiang Huang, Lili Huang, Lixin Guo, and Chen designed the experiments. Weihao Wang, Zhengxiang Huang, Lyn Gao, and Ling Cui performed the animal experiments. Weihao Wang and Zhengxiang Huang performed the Elisa and qPCR analysis. Weihao Wang prepared the manuscript and figures. Zhengxiang Huang, Lili Huang, Michael A. Cowley, Lixin Guo, and Chen discussed and revised the manuscript. All authors approved the final article.
References
- 1. Clasey JL, Weltman A, Patrie J, Weltman JY, Pezzoli S, Bouchard C, et al. Abdominal visceral fat and fasting insulin are important predictors of 24-hour GH release independent of age, gender, and other physiological factors. J Clin Endocrinol Metab. 2001;86(8):3845–52.http://dx.doi.org/10.1210/jcem.86.8.7731.
- 2. Huang Z, Huang L, Waters MJ, Chen C. Insulin and growth hormone balance: implications for obesity. Trends Endocrinol Metab. 2020;31(9):642–54http://dx.doi.org/10.1016/j.tem.2020.04.005.
- 3. Huang L, Huang Z, Chen C. Rhythmic growth hormone secretion in physiological and pathological conditions: lessons from rodent studies. Mol Cell Endocrinol. 2019;498:110575http://dx.doi.org/10.1016/j.mce.2019.110575.
- 4. Tan HY, Steyn FJ, Huang L, Cowley M, Veldhuis JD, Chen C. Hyperphagia in male melanocortin 4 receptor deficient mice promotes growth independently of growth hormone. J Physiol. 2016;594(24):7309–26.http://dx.doi.org/10.1113/JP272770.
- 5. Huang Z, Huang L, Wang C, Zhu S, Qi X, Chen Y, et al. Dapagliflozin restores insulin and growth hormone secretion in obese mice. J Endocrinol. 2020;245(1):1–12.http://dx.doi.org/10.1530/joe-19-0385.
- 6. Arble DM, Bass J, Laposky AD, Vitaterna MH, Turek FW. Circadian timing of food intake contributes to weight gain. Obesity. 2009;17(11):2100–2http://dx.doi.org/10.1038/oby.2009.264.
- 7. Rothschild J, Hoddy KK, Jambazian P, Varady KA. Time-restricted feeding and risk of metabolic disease: a review of human and animal studies. Nutr Rev. 2014;72(5):308–18.http://dx.doi.org/10.1111/nure.12104.
- 8. Chaix A, Zarrinpar A, Miu P, Panda S. Time-restricted feeding is a preventative and therapeutic intervention against diverse nutritional challenges. Cell Metab. 2014;20(6):991–1005http://dx.doi.org/10.1016/j.cmet.2014.11.001.
- 9. Chaix A, Lin T, Le HD, Chang MW, Panda S. Time-restricted feeding prevents obesity and metabolic syndrome in mice lacking a circadian clock. Cell Metab. 2019;29(2):303–19.e4http://dx.doi.org/10.1016/j.cmet.2018.08.004.
- 10. Chaix A, Manoogian ENC, Melkani GC, Panda S. Time-restricted eating to prevent and manage chronic metabolic diseases. Annu Rev Nutr. 2019;39:291–315.http://dx.doi.org/10.1146/annurev-nutr-082018-124320.
- 11. Regmi P, Heilbronn LK. Time-restricted eating: benefits, mechanisms, and challenges in translation. iScience. 2020;23(6):101161http://dx.doi.org/10.1016/j.isci.2020.101161.
- 12. Sutton EF, Beyl R, Early KS, Cefalu WT, Ravussin E, Peterson CM. Early time-restricted feeding improves insulin sensitivity, blood pressure, and oxidative stress even without weight loss in men with prediabetes. Cell Metab. 2018;27(6):1212–21.e3http://dx.doi.org/10.1016/j.cmet.2018.04.010.
- 13. Cienfuegos S, Gabel K, Kalam F, Ezpeleta M, Wiseman E, Pavlou V, et al. Effects of 4- and 6-h time-restricted feeding on weight and cardiometabolic health: a randomized controlled trial in adults with obesity. Cell Metab. 2020;32(3):366–78.e3http://dx.doi.org/10.1016/j.cmet.2020.06.018.
- 14. Parr EB, Devlin BL, Radford BE, Hawley JA. A delayed morning and earlier evening time-restricted feeding protocol for improving glycemic control and dietary adherence in men with overweight/obesity: a randomized controlled trial. Nutrients. 2020;12(2):505.
- 15. Martens CR, Rossman MJ, Mazzo MR, Jankowski LR, Nagy EE, Denman BA, et al. Short-term time-restricted feeding is safe and feasible in non-obese healthy midlife and older adults. GeroScience. 2020;42(2):667–86.http://dx.doi.org/10.1007/s11357-020-00156-6.
- 16. Pureza IROM, Melo ISV, Macena ML, Praxedes DRS, Vasconcelos LGL, Silva-Júnior AE, et al. Acute effects of time-restricted feeding in low-income women with obesity placed on hypoenergetic diets: randomized trial. Nutrition. 2020;77:110796.http://dx.doi.org/10.1016/j.nut.2020.110796.
- 17. Hatori M, Vollmers C, Zarrinpar A, DiTacchio L, Bushong EA, Gill S, et al. Time-restricted feeding without reducing caloric intake prevents metabolic diseases in mice fed a high-fat diet. Cell Metab. 2012;15(6):848–60http://dx.doi.org/10.1016/j.cmet.2012.04.019.
- 18. Jamshed H, Beyl RA, Della Manna DL, Yang ES, Ravussin E, Peterson CM. Early time-restricted feeding improves 24-hour glucose levels and affects markers of the circadian clock, aging, and autophagy in humans. Nutrients. 2019;11(6):1234.
- 19. McAllister MJ, Pigg BL, Renteria LI, Waldman HS. Time-restricted feeding improves markers of cardiometabolic health in physically active college-age men: a 4-week randomized pre-post pilot study. Nutr Res. 2020;75:32–43http://dx.doi.org/10.1016/j.nutres.2019.12.001.
- 20. Zarrinpar A, Chaix A, Panda S. Daily eating patterns and their impact on health and disease. Trends Endocrinol Metab. 2016;27(2):69–83http://dx.doi.org/10.1016/j.tem.2015.11.007.
- 21. Satoh Y, Kawai H, Kudo N, Kawashima Y, Mitsumoto A. Time-restricted feeding entrains daily rhythms of energy metabolism in mice. Am J Physiol Regul Integr Comp Physiol. 2006;290(5):R1276–83.http://dx.doi.org/10.1152/ajpregu.00775.2005.
- 22. Galgani JE, Moro C, Ravussin E. Metabolic flexibility and insulin resistance. Am J Physiol Endocrinol Metab. 2008;295(5):E1009–17.http://dx.doi.org/10.1152/ajpendo.90558.2008.
- 23. Breier BH. Regulation of protein and energy metabolism by the somatotropic axis. Domest Anim Endocrinol. 1999;17(2–3):209–18.http://dx.doi.org/10.1016/s0739-7240(99)00038-7.
- 24. Møller N, Jørgensen JOL. Effects of growth hormone on glucose, lipid, and protein metabolism in human subjects. Endocr Rev. 2009;30(2):152–77.
- 25. Steyn FJ, Huang L, Ngo ST, Leong JW, Tan HY, Xie TY, et al. Development of a method for the determination of pulsatile growth hormone secretion in mice. Endocrinology. 2011;152(8):3165–71.http://dx.doi.org/10.1210/en.2011-0253.
- 26. Mosa R, Huang L, Wu Y, Fung C, Mallawakankanamalage O, LeRoith D, et al. Hexarelin, a growth hormone secretagogue, improves lipid metabolic aberrations in nonobese insulin-resistant male MKR mice. Endocrinology. 2017;158(10):3174–87.http://dx.doi.org/10.1210/en.2017-00168.
- 27. Steyn FJ, Leong JW, Huang L, Tan HY, Xie TY, Nelson C, et al. GH does not modulate the early fasting-induced release of free fatty acids in mice. Endocrinology. 2012;153(1):273–82.http://dx.doi.org/10.1210/en.2011-1681.
- 28. Goodpaster BH, Sparks LM. Metabolic flexibility in health and disease. Cell Metab. 2017;25(5):1027–36http://dx.doi.org/10.1016/j.cmet.2017.04.015.
- 29. Moller L, Norrelund H, Jessen N, Flyvbjerg A, Pedersen SB, Gaylinn BD, et al. Impact of growth hormone receptor blockade on substrate metabolism during fasting in healthy subjects. J Clin Endocrinol Metab. 2009;94(11):4524–32.http://dx.doi.org/10.1210/jc.2009-0381.
- 30. Weiss EJ, Lee AP, Mulligan K, Schambelan M, Murphy EJ. Growth hormone receptor antagonism with pegvisomant in insulin resistant non-diabetic men: a phase II pilot study. F1000Res. 2017;6:614.
- 31. Liu Z, Cordoba-Chacon J, Kineman RD, Cronstein BN, Muzumdar R, Gong Z, et al. Growth hormone control of hepatic lipid metabolism. Diabetes. 2016;65(12):3598–609.http://dx.doi.org/10.2337/db16-0649.
- 32. Chhabra Y, Nelson CN, Plescher M, Barclay JL, Smith AG, Andrikopoulos S, et al. Loss of growth hormone-mediated signal transducer and activator of transcription 5 (STAT5) signaling in mice results in insulin sensitivity with obesity. FASEB J. 2019;33(5):6412–30.
- 33. Sos BC, Harris C, Nordstrom SM, Tran JL, Balázs M, Caplazi P, et al. Abrogation of growth hormone secretion rescues fatty liver in mice with hepatocyte-specific deletion of JAK2. J Clin Invest. 2011;121(4):1412–23.http://dx.doi.org/10.1172/JCI42894.
- 34. Dodington DW, Desai HR, Woo M. JAK/STAT: emerging players in metabolism. Trends Endocrinol Metab. 2018;29(1):55–65http://dx.doi.org/10.1016/j.tem.2017.11.001.
- 35. Mehran AE, Templeman NM, Brigidi GS, Lim GE, Chu KY, Hu X, et al. Hyperinsulinemia drives diet-induced obesity independently of brain insulin production. Cell Metab. 2012;16(6):723–37http://dx.doi.org/10.1016/j.cmet.2012.10.019.
- 36. Nelson CN, List EO, Ieremia M, Constantin L, Chhabra Y, Kopchick JJ, et al. Growth hormone activated STAT5 is required for induction of beige fat in vivo. Growth Horm IGF Res. 2018;42–43:40–51http://dx.doi.org/10.1016/j.ghir.2018.08.004.
- 37. Bartelt A, Heeren J. Adipose tissue browning and metabolic health. Nat Rev Endocrinol. 2014;10(1):24–36.http://dx.doi.org/10.1038/nrendo.2013.204.
- 38. Alipoor E, Hosseinzadeh-Attar MJ, Rezaei M, Jazayeri S, Chapman M. White adipose tissue browning in critical illness: a review of the evidence, mechanisms and future perspectives. Obes Rev. 2020;21(12):e13085.
- 39. Chung H, Chou W, Sears DD, Patterson RE, Webster NJ, Ellies LG. Time-restricted feeding improves insulin resistance and hepatic steatosis in a mouse model of postmenopausal obesity. Metab Clin Exp. 2016;65(12):1743–54.http://dx.doi.org/10.1016/j.metabol.2016.09.006.
- 40. Dedual MA, Wueest S, Borsigova M, Konrad D. Intermittent fasting improves metabolic flexibility in short-term high-fat diet-fed mice. Am J Physiol Endocrinol Metab. 2019;317(5):E773–82.http://dx.doi.org/10.1152/ajpendo.00187.2019.
- 41. Holland WL, Summers SA. Sphingolipids, insulin resistance, and metabolic disease: new insights from in vivo manipulation of sphingolipid metabolism. Endocr Rev. 2008;29(4):381–402.http://dx.doi.org/10.1210/er.2007-0025.
- 42. Shulman GI. Unraveling the cellular mechanism of insulin resistance in humans: new insights from magnetic resonance spectroscopy. Physiology. 2004;19(4):183–90.http://dx.doi.org/10.1152/physiol.00007.2004.
- 43. Moran A, Jacobs DR, Steinberger J, Cohen P, Hong CP, Prineas R, et al. Association between the insulin resistance of puberty and the insulin-like growth factor-I/growth hormone axis. J Clin Endocrinol Metab. 2002;87(10):4817–20.http://dx.doi.org/10.1210/jc.2002-020517.
- 44. Krag MB, Gormsen LC, Guo Z, Christiansen JS, Jensen MD, Nielsen S, et al. Growth hormone-induced insulin resistance is associated with increased intramyocellular triglyceride content but unaltered VLDL-triglyceride kinetics. Am J Physiol Endocrinol Metab. 2007;292(3):E920–7.http://dx.doi.org/10.1152/ajpendo.00374.2006.
- 45. Nicolaides NC, Charmandari E, Chrousos GP, Kino T. Circadian endocrine rhythms: the hypothalamic-pituitary-adrenal axis and its actions. Ann N Y Acad Sci. 2014:1318:71–80.
- 46. Gamble KL, Berry R, Frank SJ, Young ME. Circadian clock control of endocrine factors. Nat Rev Endocrinol. 2014;10(8):466–75.http://dx.doi.org/10.1038/nrendo.2014.78.
- 47. Albrecht U. Timing to perfection: the biology of central and peripheral circadian clocks. Neuron. 2012;74(2):246–60http://dx.doi.org/10.1016/j.neuron.2012.04.006.
- 48. Nader N, Chrousos GP, Kino T. Interactions of the circadian CLOCK system and the HPA axis. Trends Endocrinol Metab. 2010;21(5):277–86http://dx.doi.org/10.1016/j.tem.2009.12.011.
- 49. Vakili H, Jin Y, Cattini PA. Evidence for a circadian effect on the reduction of human growth hormone gene expression in response to excess caloric intake. J Biol Chem. 2016;291(26):13823–33.http://dx.doi.org/10.1074/jbc.M116.722744.
- 50. Kim JH, White SL, Devlin RH. Interaction of growth hormone overexpression and nutritional status on pituitary gland clock gene expression in coho salmon, Oncorhynchus kisutch. Chronobiol Int. 2015;32(1):113–27.http://dx.doi.org/10.3109/07420528.2014.958160.
- 51. Sjögren K, Leung KC, Kaplan W, Gardiner-Garden M, Gibney J, Ho KK. Growth hormone regulation of metabolic gene expression in muscle: a microarray study in hypopituitary men. Am J Physiol Endocrinol Metab. 2007;293(1):E364–71.http://dx.doi.org/10.1152/ajpendo.00054.2007.
- 52. Lyu X, Wang G, Pi Z, Wu L. Circadian clock disruption attenuated growth hormone(GH)-mediated signalling. Gen Comp Endocrinol. 2021;302:113670http://dx.doi.org/10.1016/j.ygcen.2020.113670.
- 53. Farooqi IS, Keogh JM, Yeo GSH, Lank EJ, Cheetham T, O’Rahilly S. Clinical spectrum of obesity and mutations in the melanocortin 4 receptor gene. N Engl J Med. 2003;348(12):1085–95.