Introduction
In the United States, the Family Smoking Prevention and Tobacco Control Act (FSPTCA) restricts the sales of flavored cigarettes, with the exemption of menthol cigarettes. These restrictions do not apply to smokeless tobacco products, cigars, and electronic cigarettes. These products are available in a wide range of flavors with novel flavor combinations introduced almost daily. The presence of characterizing flavor additives is expected to attract both smokers and nonsmokers, and especially adolescents. Previous studies have noted similarities in the content of flavor chemicals in tobacco products and confectionary products such as hard candy, mints, and chewing gum., Tobacco flavorants include many of the esters, alcohols, terpenes, and aromatic chemicals added to foods. For example, benzyl alcohol is used as a flavoring both in cherry candies and cherry-flavored tobacco products. Electronic cigarette liquids also contain a wide range of known flavor chemicals used in the food industry.
In contrast to these aroma flavorings, only limited information is available about the presence of sweeteners in the currently marketed smokeless tobacco products and electronic cigarette liquids. Traditionally, chewing tobacco and moist snuff have been sweetened either with table sugar (sucrose), causing documented oral health problems in users, or with saccharin., Tobacco Industry Documents list sweetener contents in some products, however, this information is likely outdated and new sweeteners and product categories have been introduced., For currently marketed products manufacturers list sweeteners as ingredients, including saccharin and sucralose, high intensity sweeteners several hundred times sweeter than sucrose. The quantities and types of sweeteners contained in individual products, and how these compare to confectionary products, are unknown.
Sweeteners have powerful psychophysical effects and are known to mask the unpleasant taste of tobacco constituents and reduce oral aversion to nicotine in animals., Analogous to candies and sweetened beverages designed to appeal to teenagers and young adults, addition of sweeteners to tobacco products might promote product uptake and determine preference and use patterns.,
In the present study, 18 tobacco products, including snus, moist snuff, dissolvable tobacco, and electronic cigarette liquids marketed in the United States were analyzed by liquid chromatography–mass spectrometry [LC-MS], to determine levels of natural and high-intensity sweeteners. Sweetener contents in representative confectionary products and soda were analyzed and compared.
Methods
Product Samples
Sixteen tobacco products were purchased from stores in the New Haven, CT, area including four snus products, five moist snuffs, five electronic cigarette cartridges, and two electronic cigarette refill liquids. One electronic refill liquid was purchased online from the manufacturer (V2), and one dissolvable tobacco product was procured from an out of state online vendor. For comparison with other high-intensity sweetened products, four sugar-free confectionary products of different brands and two sugar-free beverages of different brands were bought from area stores (Supplementary Table 1).
Chemical Analysis
Levels of synthetic high-intensity sweeteners (sucralose, cyclamates, saccharin, aspartame, acesulfame potassium), bio-derived high-intensity sweeteners (stevioside, glycyrrhizin), sugar alcohols, natural sugars, and other constituents were determined by a modified LC-MS method previously used in our laboratory for the analysis of sweetener content in environmental samples (Supplementary Methods). This technique provides a conservative estimate of sweetener levels; in some samples the tobacco matrix may cause minor suppression of MS response.
Results
All tested products contained no or only very small amounts of the sugars, glucose (<0.072 % w/w) or sucrose (<0.024 % w/w). As expected, the high-intensity sweeteners, sucralose, or aspartame, were detected in the soda and confectionary products (Table 1). The bulk of all mint lozenge products consisted of the sugar alcohol, sorbitol. Sucralose was detected in all snus products at high levels, with three of the four snus products also containing aspartame (Table 1). Saccharin was only detected in the moist snuff products. Snuff products contained no aspartame and only one contained a comparably small amount of sucralose (Skoal mint Xtra). No high-intensity sweeteners were detected in the electronic cigarette liquids tested (Table 1). Two of the liquids contained traces of sorbitol (<0.003 % w/w). Ethyl maltol was detected in six of the eight liquids. All the E-liquids had glycerol as carrier, three of them also contained propylene glycol (Supplementary Table 2). The dissolvable product consisted of a large percentage (59.0±3.0 % w/w) of sorbitol, and contained a high amount of sucralose, but no aspartame or saccharin (Table 1).
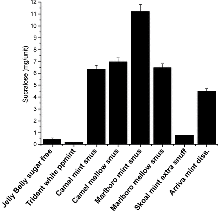
The average total amount of sucralose per product unit (piece, lozenge, or strip) was calculated for the sucralose-containing confectionary and smokeless tobacco products (Figure 1). Amounts of sucralose per unit were much higher in the snus products (>6mg/unit, one product > 11mg/unit) than in the confectionary products (<0.4mg/unit). The single snuff product containing sucralose had <1mg/unit. Sucralose content in the dissolvable product was higher (4.48mg/unit).

Figure 1
Comparison of sucralose content in product units of confectionary products and snus. Average content of sucralose in mg per piece or pouch is displayed. Data derived from Table 1.
Among the nine snus and moist snuff products, seven were in the form of small pouches. The content of sweeteners in the pouch material, comprising about 10% of total product weight, followed distributions in the bulk products, but concentrations were all lower (Supplementary Tables 3–5).
Discussion
In the present study, all the tested snus and moist snuff products contained high-intensity sweeteners. All tested moist snuff products contained saccharin as the sole added synthetic sweetener with one exception containing roughly equal amounts of both saccharin and sucralose. Manufacturers have been adding saccharin to smokeless tobacco products since 1891, when R. J. Reynolds introduced saccharin-sweetened chewing tobacco. In fact, the tobacco industry was the first to license synthetic high-intensity sweeteners to add to consumer products, likely to improve shelf stability, product uniformity and create brand identity. The majority of the moist snuff products investigated here were brought to market prior to introduction of sucralose in 1999. Saccharin, in addition to being perceived as sweet, has a bitter taste, a property not shared by sucralose and aspartame that have replaced saccharin in most high-intensity sweetened food products. It is possible that tobacco manufacturers did not replace saccharin in snuff products because long term users have been habituated to its taste profile and would disapprove of a change to other sweeteners. This view is also supported by the observation that saccharin content in the currently marketed products analyzed here did not differ much from levels determined in snuff products more than 20 years ago. The lower price of saccharin compared to sucralose may also explain its continued use in the product category.
In contrast, all four snus products tested here contained sucralose, most in combination with aspartame. Snus products were introduced to the US market in 2006 when sucralose was already widely used in food products. Sucralose content in the tested snus products, both % w/w and weight per product unit, exceeded the levels in any of the other solid confectionary products (candy, mint lozenges, chewing gum). The absolute amounts of sucralose in snus were 14- to 25-fold higher than the highest content found in a candy product. The bulk of some of the confectionary products consisted of a high percentage of sorbitol, a sugar alcohol with a sweetness lower than table sugar (sucrose). Together with sorbitol, smaller amounts of sucralose and aspartame are likely sufficient for these products to reach the desired level of sweetness. Intriguingly, the dissolvable tobacco product tested here also contained substantial amounts of sorbitol with sucralose added at an amount approaching that found in the snus products.
Six of the eight E-cigarette liquids contained ethyl maltol, known to be a sweet taste potentiator and previously reported in E-liquids.,, Propylene glycol and glycerol, the major constituents of the E-liquids tested, are lightly sweet. Their sweetness may be enhanced by ethyl maltol and other popular sweet-associated flavorings., Ethyl maltol was awarded GRAS status (Generally Recognized As Safe) from the Flavor & Extracts Manufacturers Association (FEMA) for the intended use as a food additive. Some E-liquids vendors advertise the GRAS label as supportive of safety for the flavorants added to their products. However, FEMA has repudiated these claims since GRAS status only applies to use in food and not in E-cigarettes for inhalational delivery. It is unknown whether ethyl maltol is chemically stable in E-liquids, and when these are heated and vaporized.
High-intensity sweeteners were not detected in the E-liquids tested suggesting that the major manufacturers of E-cigarettes and -liquids do not include high-intensity sweeteners in their E-liquid formulations. However, online vendors currently offer sucralose liquids for sale to customers to mix with their E-liquids. While sucralose is an FDA-approved food additive, its health effects and metabolic fate when delivered by E-cigarette are unknown.
In summary, the current findings suggest that US-marketed new smokeless tobacco products, snus and dissolvables, are more highly sweetened than confectionary products. With sucralose perceived as 600 times sweeter than sugar, and added aspartame, the sweetness of snus and dissolvable products exceed the sweetness of their unit (pouch or lozenge) weight in sugar. Optimal sweetener levels were likely determined in tests by company-internal panelists and consumer groups, suggesting that higher levels of sweetness are required to establish palatability and liking of these tobacco-containing products. The intense sweetness may be necessary to mask the adverse taste and sensory effects of the processed tobacco that contains irritating and bitter nicotine and other tobacco constituents with adverse tastes. Sweeteners are known to suppress the perception of bitter taste and to inhibit the sensation of irritation. While sucralose uptake from snus alone is unlikely to exceed the FDA-determined acceptable daily intake (ADI), daily repeated use of snus together with consumption of other sucralose-sweetened products such as soda, sweetener packets and food products may lead to continuous high exposure. Recent studies revealed that high-intensity sweeteners affected metabolic signaling in pancreatic beta cells and changed the composition of the gut microbiome, potentially contributing to metabolic dysregulation.
Dissolvables and snus have been promoted as risk-mitigation products due to their relatively low content of nitrosamines and other tobacco toxicants. While not as popular, these products may increase the risk of polytobacco use and their intense sweetness is of concern since it may appeal especially to adolescents who initiate tobacco product use., In addition to E-cigarettes, other sweet flavored tobacco products such as small cigars have made rapid inroads among adolescent populations and remain unregulated., Among the wide variety of flavors offered intense sweetness appears to be a common denominator in the majority of the newly introduced products. Thus, the regulation of sweetener content may represent an efficient means to control palatability of a wide range of products and to reduce tobacco product use initiation.
Supplementary Material
Supplementary Tables 1 to 5 and Supplementary Methods can be found online at http://www.ntr.oxfordjournals.org
Funding
This work was supported by the National Institute on Drug Abuse and the National Heart, Lung and Blood Institute of the National Institutes of Health and the Center for Tobacco Products of the US Food and Drug Administration under Award Numbers P50DA036151 (Yale Tobacco Center of Regulatory Science, TCORS) and R01HL105635-S1. The content is solely the responsibility of the authors and does not necessarily represent the views of the NIH or the FDA.
Declaration of Interests
The authors declare no competing interests.
References
- 1. McMillen RC, Gottlieb MA, Shaefer RM, Winickoff JP, Klein JD. Trends in electronic cigarette use among U.S. adults: use is increasing in both smokers and nonsmokers. Nicotine Tob Res. 2015;17(10):1195–1202. doi:10.1093/ntr/ntu213.
- 2. Barrington-Trimis JL, Samet JM, McConnell R. Flavorings in electronic cigarettes: an unrecognized respiratory health hazard? JAMA. 2014;312(23):2493–2494. doi:10.1001/jama.2014.14830.
- 3. Bartoshuk LM. Bitter taste of saccharin related to the genetic ability to taste the bitter substance 6-n-propylthiouracil. Science. 1979;205:934–935.
- 4. Chen C, Isabelle LM, Pickworth WB, Pankow JF. Levels of mint and wintergreen flavorants: smokeless tobacco products vs. confectionery products. Food Chem Toxicol. 2010;48(2):755–763. doi:10.1016/j.fct.2009.12.015.
- 5. Brown JE, Luo W, Isabelle LM, Pankow JF. Candy flavorings in tobacco. N Engl J Med. 2014;370(23):2250–2252. doi:10.1056/NEJMc1403015.
- 6. Hutzler C, Paschke M, Kruschinski S, et al. Chemical hazards present in liquids and vapors of electronic cigarettes. Arch Toxicol. 2014;88(7):1295–1308. doi:10.1007/s00204-014-1294-7.
- 7. Tilley NM. The R.J. Reynolds Tobacco Company. Chapel Hill: University of North Carolina Press; 1985.
- 8. Tomar SL, Winn DM. Chewing tobacco use and dental caries among U.S. men. J Am Dent Assoc. 1999;130:1601–1610.
- 9. Wang M.B&W R&D File Note. Saccharin determination in several competitors’ wet snuff samples. In: Brown & Williamson, ed. Brown & Williamson; 1993:598000122–598000130.
- 10.
- 11. Tobacco & Flavor Ingredients—Philip Morris USA. In: Philip Morris, ed. 2008:3039920602–3039920625.
- 12. Project MARS. In: British American Tobacco, ed. 2006:324539047– 324539062.
- 13. Star Ariva product development. In: British American Tobacco, ed. 2001:324539063–324539064.
- 14. Dube MF, Cantrell DV, Mua J-P, et al., Inventors; Patent: EP1926401 B1, assignee. Smokeless tobacco composition. US patent EP1926401 B12014.
- 15. Holton DE, Cantrell DVInventors; Patent: US7861728 B2, assignee. Smokeless tobacco composition having an outer and inner pouch. US patent US7861728 B22011.
- 16. Mola MInventor; Patent: US20130276805 A1, assignee. Fleece for smokeless tobacco. US patent US20130276805 A12013.
- 17. Ksir C. Taste and nicotine as determinants of voluntary tobacco use by hamsters. Pharmacol Biochem Behav. 1983;19:605–608.
- 18. Robinson SF, Marks MJ, Collins AC. Inbred mouse strains vary in oral self-selection of nicotine. Psychopharmacology (Berl). 1996;124:332–339.
- 19. Tuorila-Ollikainen H, Mahlamäki-Kultanen S, Kurkela R. Relative importance of color, fruity flavor and sweetness in the overall liking of soft drinks. J Food Sci. 1984;49(6):1598–1600. doi:10.1111/j.1365–2621.1984.tb12852.x.
- 20. Kushner B. Sweetness and empire: sugar consumption in imperial Japan. In: The Historical Consumer: Consumption and Everyday Life in Japan, 1850–2000. 2011. Chapter 6: 127–150.
- 21. Soh L, Connors KA, Brooks BW, Zimmerman J. Fate of sucralose through environmental and water treatment processes and impact on plant indicator species. Environ Sci Technol. 2011;45(4):1363–1369. doi:10.1021/es102719d.
- 22. Van Eeckhaut A, Lanckmans K, Sarre S, Smolders I, Michotte Y. Validation of bioanalytical LC-MS/MS assays: evaluation of matrix effects. J Chromatogr B Analyt Technol Biomed Life Sci. 2009;877(23):2198–2207. doi:10.1016/j.jchromb.2009.01.003.
- 23. Biener L, Bogen K. Receptivity to Taboka and Camel Snus in a U.S. test market. Nicotine Tob Res. 2009;11(10):1154–1159. doi:10.1093/ntr/ntp113.
- 24. Burdock GA, Fenaroli G. Fenaroli’s Handbook of Flavor Ingredients. 6th ed. Boca Raton: CRC Press/Taylor & Francis Group; 2010.
- 25. Moskowitz HR. The sweetness and pleasantness of sugars. Am J Psychol. 1971;84:387–405.
- 26. Farsalinos KE, Kistler KA, Gillman G, Voudris V. Evaluation of electronic cigarette liquids and aerosol for the presence of selected inhalation toxins. Nicotine Tob Res. 2015;17(2):168–174. doi:10.1093/ntr/ntu176.
- 27.
- 28. Kroeze JH, Bartoshuk LM. Bitterness suppression as revealed by split-tongue taste stimulation in humans. Physiol Behav. 1985;35:779–783.
- 29. Pepino MY. Metabolic effects of non-nutritive sweeteners. Physiol Behav. 2015. doi:10.1016/j.physbeh.2015.06.024.
- 30. Lee YO, Hebert CJ, Nonnemaker JM, Kim AE. Multiple tobacco product use among adults in the United States: cigarettes, cigars, electronic cigarettes, hookah, smokeless tobacco, and snus. Prev Med. 2014;62:14–19. doi:10.1016/j.ypmed.2014.01.014.
- 31. Cabrera-Nguyen EP, Cavazos-Rehg P, Krauss M, Kim Y, Emery S. Awareness and use of dissolvable tobacco products in the United States. Nicotine Tob Res. 2016;18(5):857–863. doi:10.1093/ntr/ntv212.
- 32. Biener L, Roman AM, Mc Inerney SA, et al. Snus use and rejection in the USA. Tob Control. 2014. doi:10.1136/tobaccocontrol-2013–051342
- 33. Sterling KL, Fryer CS, Fagan P. The most natural tobacco used: a qualitative investigation of young adult smokers’ risk perceptions of flavored little cigars and cigarillos. Nicotine Tob Res. 2016;18(5):827–833. doi:10.1093/ntr/ntv151.